知識答疑
GuanHang &Machinery
手動液壓搬運車各液壓元件的設計計算和校核
為使手動液壓搬運車液壓系統結構更緊湊、簡潔,使液壓系統集中在一個模塊內,把各液壓元件做成一體。把油箱與液壓缸裝配在同一圓心軸線內,把各油路與各閥等設計在液壓缸的底座內。總結了手動液壓搬運車各液壓元件的設計計算和校核方法。
一、液壓缸的設計及計算
1. 液壓缸材料的確定
為使液壓缸結構更緊湊、簡潔,液壓缸材料采用高質量,具有高抗拉強度極限的材料,采用高質量的無縫鋼管,材料為∶45號鋼制造,調質處理.
查《機械設計課程設計》表12-1,得
硬度為∶162-217HBS,抗拉強度為∶G。=600MP。屈服極限為∶o=35MP。
2.大液壓缸內膠直徑的計算與確定由上得知,液壓系統的最大負荷為∶F=45600N
為使液壓缸結構較小,取液壓系統的設計壓力盡量的高。初取液壓系統的設計壓力為∶=17MPa

3.液壓缸外直徑的計算與確定
為使液壓缸結構較小,先把液壓缸按薄壁計算。因為,D/6210時,為薄壁


二、油箱的設計
伸縮臂套的材料∶選工程用鑄造鋼 ZG310-570。查《機械設計課程設計》表12-1,得硬度為∶≥153HBS,抗拉強度為∶g,=570MP。
為使液壓系統結構更緊湊,把油簡與液壓缸裝配在同一圓心軸線內。要求∶油筒油面的最高高度不超過,油簡高度的80%
因為油路和閥中對油量的損耗,所以,估算,液壓缸到達最高極限位置所需的油量為總油量的90%。
又因為,推程∶S=520mm 液壓缸內腔的直徑∶D=42mm 所以,液壓缸到達最高極限位置所需的油量為∶


三、油路的設計
為使液壓系統結構更緊湊、簡潔,使液壓系統集中在一個模塊內,把各液壓元件做成一體。把各油管路做在液壓缸的底座內。
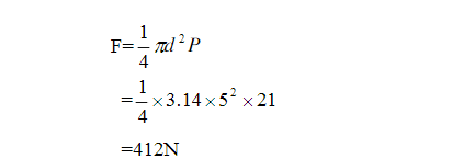
油管路的管徑不宜選得過大,以免使液壓裝置的結構龐大∶但也不能選過小,以免使系統壓力損失過大,影響工作。取,油道內徑為∶d=5mm 3.2.4
四、截止閥的設計
為使液壓系統結構更緊湊、簡潔,使液壓系統集中在一個模塊內,把各液壓元件做成一體。把各閥等設計在液壓缸的底座內。
因為,液壓系統設計的最高壓力為∶Pn-=19MPa 取,截止閥的開啟系數為∶n=1.1 所以,截止閥的開啟壓力為∶


叉車在工作時必須安全可靠。要使一臺起重機工作安全可靠,除了要使各個機構和金屬結構滿足要求外,還要裝設安全與指示裝置。
所以我們在設計手動液壓搬運車時根據上述的要求,在設計液壓起重機時考慮過載保護、機架足夠強度,認真計算各個參數,盡可能的全面考慮問題。
產品導航
新聞推薦
-
2023-06-28
手動液壓搬運車參與罐頭廠倉庫搬...
在罐頭加工廠中,搬運成箱的罐頭通常涉及以下步驟:包裝罐頭:首先,經過...
-
2023-06-28
茶葉加工廠使用手動液壓搬運車的...
茶葉加工廠內的搬貨卸貨的工作可以說是相對辛苦和繁重的,在擁擠的...
-
2023-06-28
天天用手動地牛叉車搬貨卸貨的工...
手動地牛叉車是各個工廠車間、商超、醫院等單位普遍使用的貨物搬...
-
2023-06-28
哪種電動搬運車適合參與冷鏈物流...
冷鏈物流運輸發展包括倉儲、運輸、配送等環節,在電子商務行業的帶...
-
2023-06-28
手動液壓搬運車能搬運小麥秸稈嗎...
小麥夏收過后,留下的小麥秸稈可以可以還田,也可以作為飼料,只是一...
-
2023-06-25
液壓堆高車的調頭和倒車分別需要...
液壓堆高車屬于叉車的一種,它的主要功能不僅僅可以進行貨物的大范...